| Physics CS 33 |
Set # 3 |
| Spring 2006 |
|
| Due date | Wed. April 26th |
| Read HR&K: |
Chapter 22 |
| Read K&K: | None |
| HR&K Problems: | Chapter 22
Problems 6, 8 (Hint: calculate < (v - vavg)2
>, is it always positive? ), 9, 10 |
| K&K
Problems: |
None |
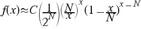
| 1. | A fair 2-sided
coin is flipped N times. Recall the formula for the probability
of x total heads appearing:![]() Since factorials become very large very fast, this formula is difficult to use even with a computer. In this problem we will try to find a better (even if it is an approximation) formula to use. a) Use Stirling's approximation to show that f(x) can be approximated by:![]() If Stirling's approximation has an error ε, what is the value of C in terms of ε? This function is more computationally friendly than the original, but we can do even better... b) It can be shown (with great difficulty) that our original f(x)--the one with the factorials--can be approximated for large N by a Gaussian: ![]() Assuming this can be done, let's estimate the standard deviation σ. First calculate the ratio f(N/2 + 1) / f(N/2) for both functions. Then use the fact that for x << 1 to estimate σ in terms on N. |
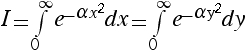
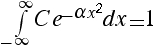
| 2. | Gaussian
probability distributions must be "normalized" : ![]() This integral can not be solved in closed form, i.e. there is no function whose derivative is a Gaussian. Luckily, there is a trick we can use to evaluate the integral. a) Start by defining I such that . We will not try to evaluate I, instead we will
try to find I2. Express I2 as an integral
of a function over the entire first quadrant of the xy-plane.b) Re-write this integral in polar coordinates. c) Perform the integral using u-substitution. What is the value of I? d) Using your result, find C in terms of α . |
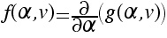
| 3. | The Maxwell-Boltzmann speed
distribution has the form .a) Show that . What is g(α
,v)?b) Using your result from part a) and #2, find C in terms of α . |
| 4. |
Calculate < vx2
> in terms of the constant temperature T for the Gaussian
distribution function: ![]() |
| 5. |
Calculate the distribution
function f(E) for
the kinetic energy of molecules in an ideal gas. |
| 6. |
What is the most probable speed for molecules in a Maxwell-Boltzmann gas at T = 300 K? Assume the gas is made up of particles of mass 1.7 x 10-27 kg. |